پایه نهم. اتحاد و تجزیه
اتحاد
اگر تساویای، فقط به ازای مقدار
محدودی از اعداد، برقرار باشد، تساوی را
معادله مینامیم.
اما اگر تساویهایی، به ازای
هر مقدار از اعداد، برقرار باشند، تساوی،
اتحاد است.
انواع اتحاد:
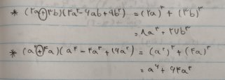
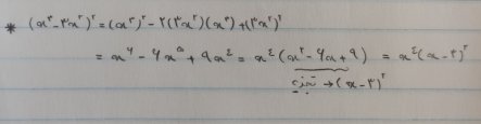
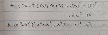
- 1 – اتحاد مربع مجموع دو جمله:

- 2 – اتحاد مربع تفاصل دو جمله:

- 3 – اتحاد مزدوج...
لطفا برای مشاهده کامل مطالب در انجمن ثبت نام کنید.